Sign In or Create a Free Account to see full details of this property
Key Facts
Key facts for 0 Stonebridge Drive
Property Type
Lots/Land
Parking
-
MLS #
X12288135
Size
-
Basement
-
Listed on
2025-07-16
Lot size
224 x 197.37
Tax
$8,110.33 /yr
Days on Market
79
Approximate Age
-
Maintenance Fee
-
Description
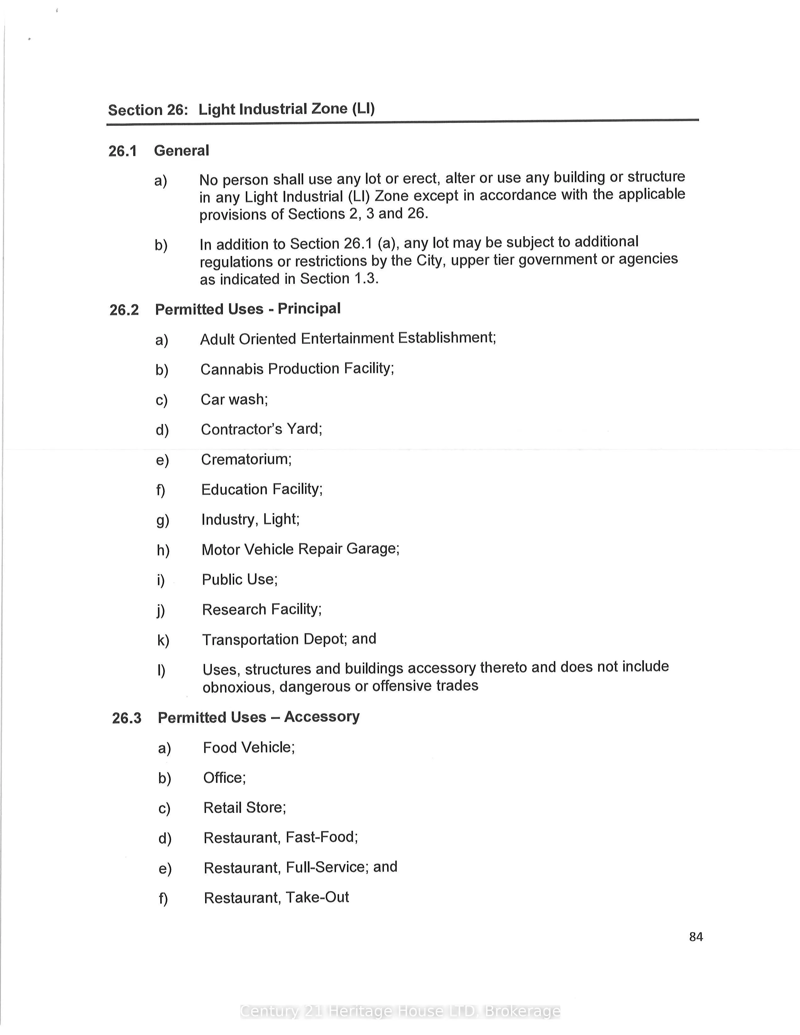
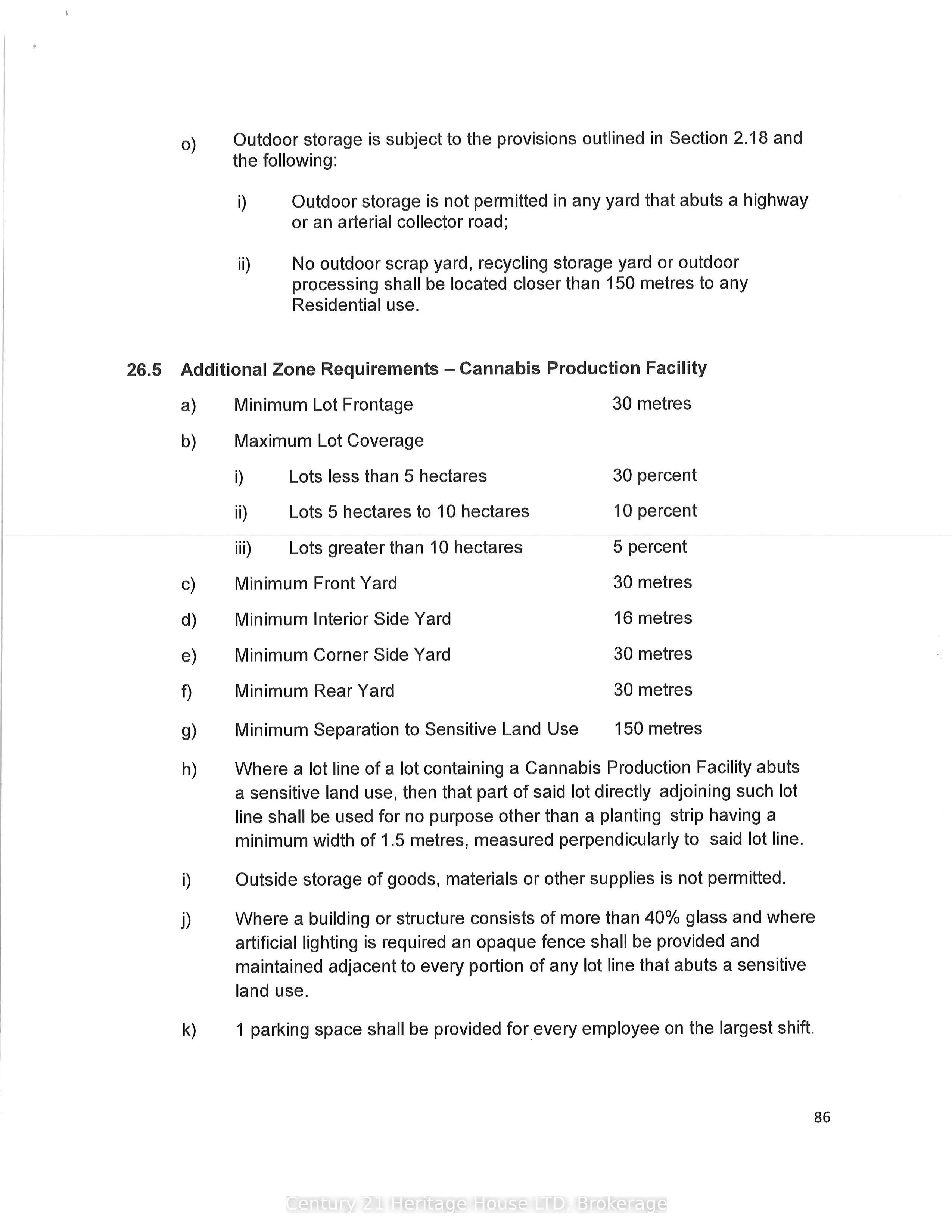
Commercial Lot - Buildable Light Industrial Lot 1.013 Acres in Port Colborne. Here is an exceptional opportunity to own a Light Industrial-zoned land in the sought-after Loyalist Industrial Park, just off Highway 58 in Port Colborne. This buildable lot offers LI zoning, allowing for a wide range of... permitted uses, making it ideal for investors, developers, or business owners looking to expand. Key Features: Zoned Light Industrial versatile for various commercial/industrial uses, Utilities available at the road: Hydro, natural gas, and high-speed internet. Located in a growing industrial hub with easy highway access Level, clear lot ready for your vision
Similar Properties(No results)
Mortgage Calculator
Calculate your estimated monthly mortgage payment
Price
$299,900
$
%
%
Total cost of mortgage
$0
Monthly payment
By clicking Save, we will calculate your estimated mortgage for all properties using the saved values (down payment percentage, interest rate, and amortization).
The accuracy and applicability of this calculator are not guaranteed.